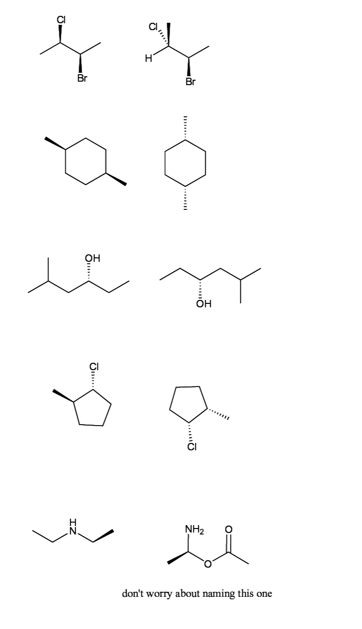
Question

Assign Absolute configuration to the compound on the right Name the compound Describe the relationship with the compound on the left

Question image 1Question image 2