Question

Further review of calculus and arithmetics

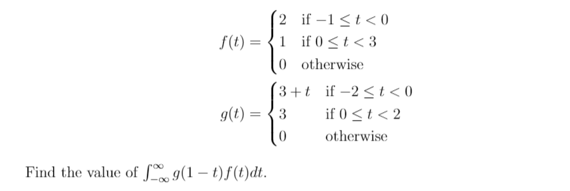
Question 13: [Basic] Consider two functions f(t) and g(t) described as follows.

Question image 1